Tout le monde a désormais entendu parler du « procès Syntel » et vu défiler d’innombrables sommes, allant de 8.5M$ à 850M$, avec beaucoup de confusions sur ce que doit réellement Atos à ce jour à TriZetto, ce qu’il a déjà provisionné et ce qu’il peut être amené à payer en appel.
Cet article présente en détail le « procès Syntel », tel qu’aucun média ne l’a jamais publié, à savoir les fondements de ce procès, ce pour quoi Syntel est condamné et ses réelles chances en appel d’après l’études des pièces juridiques.
Nous allons également démontrer que l’information que la présidence d’Atos a communiqué aux actionnaires sur les peines encourues par Syntel est non seulement fantaisiste, mais aussi mensongère. En effet selon le droit américain, la probabilité que Atos-Syntel soit condamné à « seulement » 8.5M$ est de 0%. Ca n’est simplement pas possible au vu des attendus, des conclusions des parties, des pièces versées au dossiers et de la jurisprudence.
En effet il beaucoup de confusion entre les rêves de Bertrand Meunier et son service juridique, de ce qu’il considère être une peine normale selon le droit américain (8.5M$) et ce que pensent les juges, la jurisprudence et les usage du droit américian. Nous estimons que Atos a désinformé les actionnaires et que la peine réelle minimale, et dans une hypothèse ULTRA OPTIMISTE, que peut espérer Syntel en appel sera supérieure ou égale à 42M€, et que même cette somme minimale n’a pas été provisionné, car le total des provisions pour TOUS les litiges du groupe Atos en matière commerciale en 2021 est de 36M€ 2021 et donc à fortiori, les $570M n’ont en aucun cas été provisionnés dans les comptes d’Atos ni en 2020 ni en 2021.
Au delà de cet appel, peu de PP savent réellement ce qu’il y avait dans ce procès et surtout si l’appel a été fait pour gagner du temps, par dépit, ou si Syntel a réellement une chance d’aboutir à une victoire. Et pour aller jusqu’au bout du raisonnement, qu’est-ce que serait « une victoire » pour Atos?
Enfin on s’interrogera sur le fait qu’Atos n’ait pas provisionné dans ses comptes la condamnation sachant que les chances de victoires vous le verrez sont plus qu’incertaines. Il y a clairement un déni de la gravité des agissements de la part d’Atos de cette société Syntel, qu’elle semble avoir racheté un peu à la hate et et d’après nos informations, avec un GAP limité à 20M$.
====================
Addenum du 06/04/2023
Les commissaires aux comptes d’Atos ont d’ailleurs confirmé les termes que nous utilisons dans leur rapport d’audit en parlant de : « forte incertitude » quand au résulat du procès et en cela contredisent la direction d’Atos, sans aller jusqu’à une réserve, mais une extrème prudence. Ils disent que la direction a fait des « estimations ». Ils parlent aussi de risques très élevés sur les capitaux propres si ces estimations n’étaient pas avérées.
Page 6-7 du rapport financier 2022.
Fin de l’addenum
=====================
Deuxième épisode de mésentente entre les commissaires aux comptes et la direction d’Atos en 2 ans… La vision de la comptabilité par Bertrand Meunier semble assez étrange… On rappelera que Stéphane Lhopiteau, directeur financier expérimenté a claqué la porte deux mois après son arrivée le 2 mai 2022. Evênement sur lequel la direction n’a pas communiqué, annonçant simplement la nomination de Nathalie Sénéchault comme DAF en Juillet en même temps que la nomination de Nourdine Bihmane et Philippe Oliva au poste de DG et DGA.
Vous l’aurez donc compris, le but de cet article est de vous donner une vision alternative à celle de la direction, basée non pas sur des on-dits, ou des estimations de la direction d’Atos défaillante depuis 3 ans et responsable de la chute du cours de bourse de 90%, mais sur les 1091 pièces versées au dossier de première instance et les 118 pièces versées au dossier d’appel et les conclusions des parties.
.
Publié le 04/01/2023, co-écrit par les membres Lamaban et Map.

INTRODUCTION
Pour préparer cet article, Map a téléchargé 1000 pages d’assignation du jugement d’appel, les remarques de TriZetto, les conclusions de Syntel, la réponse de TriZetto aux conclusions de Syntel et enfin la réponse de Syntel aux conclusions de TriZetto et de nombreuses annexes, même si vous comprendez fort aisément que pour un article bénévole sur un sujet si complexe, il ne nous a pas été maltériellement possible de lire toutes les pièces, mais nous les mettons à votre disposition en fin d’article.
Lamaban a lu plus de 300 pages dans l’avion qui l’amenait passer un repos mérité au Portugal pour Noël, pendant que Map préparait le début de l’article mais dont la plus grande contribution revient à Lamaban.
Il faut le dire d’emblée, ce procès d’appel avance très lentement. D’où l’idée de vous faire cet article pour savoir les chances de Syntel dans ce procès d’appel.
Nous avons décidé de mettre toutes les pièces téléchargées à la disposition des lecteurs. Vous les trouverez en téléchargement en fin d’article. A priori il n’y a pas de copyrights sur les pièces fédérales.
LES ACTEURS DU PROCES
Remontons un peu dans le temps et présentons les acteurs du « procès Syntel », devenu « procès Atos-Syntel ».
En 2007 et 2014, Syntel, réalise des contrats de sous traitance pour la société de logiciels TriZetto, dénommée The TriZetto Group. Elle effectue deux missions. De la maintenance sur site de l’installation informatique de TriZetto et elle installe ainsi pour le compte de TriZetto son logiciel Facet chez ses clients.
Dans les années qui suivent apparaissent deux autre acteurs, Cognizant Technologies qui rachète TriZetto en 2014, puis Atos qui rachète Syntel en 2018.
Syntel est donc une filiale à 100% d’Atos et Trizetto est une filialle à 100% de Cognizant. Cette présentation est nécessaire, car au fil des différents articles vous pouvez trouver le terme Atos-Syntel, Cognizant ou TriZetto ou Cognizant & TriZetto.
En 2018, Syntel est cotée au NASDAQ et l’actionnaire principal et dirigeant est l’américano-indou, Mr Bharat DESAI. C’est lui qui négocie l’OPA amicale d’Atos sur Syntel voulue par Thierry Breton (whatever it costs). Au moment des négociations pour l’OPA, le procès qui va être présenté ci-après est déjà en cours; et en juillet 2018, date de l’OPA, déjà 411 motions et divers mémos ont été porté au dossier, certaines motions contenant plusieurs centaines de pages. Ca faisait, plus de 10 000 pages juridiques auraient pu et auraient dû être auditées par Atos… C’était quand même du carburant pour un bel audit juridique pré-OPA de 3.5Md€, non? Et si à cet époque les Avoided Cost n’étaient pas encore réclamés par TriZetto, le viol de la Common Law du Copyright l’était et on était sur des montants avec dommages punitifs bien supérieurs à 20M$.
On peut réellement avoir des doutes sur le sérieux de l’audit judiciare pré-OPA, car même ne prenant des hypothèses favorables à Syntel et en incluant les dommages punitifs on était à minima sur une peine de 50M$. Je dis bien « à minima ». Des hypothèses plus conservatrices permettaient déjà à ce stade (date de signature de l’aquisition de Juillet 2018) d’envisager des peines de 200M$ si ça tournait mal.

Il semblerait (sous-réserves) qu’à cette époque, Thierry Breton, excité d’acheter Syntel, ait simplement consulté les avocats de Syntel et n’ait pas fait réaliser d’audit Due Diligence sur la partie procès par des juristes externes au procès, sur les possibilités maximales de coûts en cas de perte du procès. Il n’a pas non plus demandé de garantie de passif à Bharat Desai pour le procès.
A la décharge des avocats de Syntel, la jurisprudence en 2018 sur les « avoided costs » (voir en milieu d’article) était moins fournie et le nombre de cas a augmenté significativement entre 2018 et 2020 date du verdict.
LES FAITS
Dans le cadre du partenariat de maintenance informatique qui liait Syntel à TriZetto, Syntel avait accès à des informations clefs de TriZetto, notamment leur fichier client et le code source de leur logiciel de gestion des systèmes de santé FACETS. Facet est le logiciel pour les professions de santé le plus utilisé aux USA. 115M d’américains ont leur médecin ou leur compagnie d’assurance santé qui utilisent le logiciel Facets.
Facets is an enterprise-wide core solution that automates claims processing, billing, care management and network management workflow.
https://www.cognizant.com/us/en/trizetto/optimization-software-products/facets
A la suite du rachat de TriZetto par Cognizant, en avril 2014 le contrat entre TriZetto et Syntel a été immédiatement rompu par Syntel. Et pour cause, Cognizant était à l’époque un concurrent direct de Syntel. Malgré la rupture du contrat, Syntel doit continuer la maintenance des clients installés pendant 2 ans, mais n’a plus le droit de vendre ni d’installer le logiciel Facet. Il peut seulement procéder aux mises à jour juqu’à avril 2016.
Or Syntel a continué à installer auprès de clients le logiciel FACET de TriZetto sans informer son ancien partenaire et sans lui verser de royaltie. Syntel a notamment obtenu un énorme contrat auprès d’un des plus gros assureurs santé des USA, United Health group qui vaut 450Md$ en bourse (ticker UHG New York Stock Exchange).
Se sentant vraisemblablement sur la sellette via des fuites de clients, Syntel décide, selon l’adage « la meilleure défense c’est l’attaque », d’assigner en justice TriZetto pour vol de secrets commerciaux au prétexte que Cognizant a débauché quelques employés de Syntel (84 embauches) après la rupture du contrat. D’ailleurs pour l’anecdote, dans ses conclusions, TriZetto a qualifié la plainte de Syntel de « défense par anticipation » !
Aucun des deux auteurs n’a étudié en détail l’assignation initiale de Syntel, celle-ci ayant été rejetée en totalité par le jury, et Syntel ayant finalement reconnu sa culpabilité partielle vis à vis de TriZetto. La plainte initiale de Syntel est secondaire dans ce dossier. D’ailleurs, Syntel, n’a pas fait appel du rejet de sa plainte initiale.
En 2015, Syntel est donc « plaintiff » auprès de la « federal district court » de New York et TriZetto est « defendant ». En France si une société est attaquée en justice et qu’elle veut également faire un procès, elle doit assigner l’autre partie séparément et faire un deuxième procès.
Aux USA, si vous estimez que non seulement vous n’êtes pas coupable, mais que c’est celui qui vous attaque qui est coupable d’actes délictueux, vous pouvez vous assigner le plaignant à votre tour et ce dans le même procès en devanant « counter-claimant » (mot à mot contre-plaignant) et le plaintiff devient alors en même temps « counter-defendant ». C’est une spécificité du droit américian.
Donc : choqué de l’attaque judiciaire de Syntel, Trizetto contre-attaque immédiatement et devient « counter-claimant ». Dans ses conlusions, il qualifie même l’attaque de Syntel de « défense préventive ». Les motifs sont les mêmes : détournement de secrets commerciaux et rajoute le motif de vol de propriété intellectuelle pour avoir, sans l’accord de TriZetto, utilisé de manière abusive le logiciel FACET et l’avoir mis à disposition de ses clients.
Syntel aurait profité du fichier client de TriZetto pour prospecter des clients de TriZetto et leur offrir des prestations similaires, au prétexte que TriZetto aurait fait de même via des informations obtenues par les employés débauchés.
Donc dans le procès Syntel-TriZetto, on a Syntel qui est plaintiff et counter-defendant et TriZetto qui est defendant et counter-claimant (désolé si c’est un peu technique!). Et pour l’appel on rajoute le terme « Appellant » pour Syntel et « Appellee » pour TriZetto (voir illlustration en introduction).
Le procès dure 6 ans. Il démarre en janvier 2015 par l’assignation de Syntel, connait un premier verdict du jury en octobre 2020. Syntel conteste le verdict du Jury en procédure post-verdict en estimant à la fois que le jury s’est trompé et qu’il n’était pas qualifié pour juger une affaire aussi technique et conteste aussi les pénalités punitives. Finalement, Syntel a obtenu une réduction du montant de l’amende, et notamment une division par deux des dommages et intérêts punitifs (nous y reviendrons).
Nous allons vous présenter les originaux de la décision du Jury d’octobre 2020, puis les originaux de la décision finale post verdict. Enfin, nous vous expliquerons pourquoi Syntel a fait appel et si cet appel a des chances d’aboutir. Les non-amateurs de droit pourront zapper ces pièces juridiques destinées aux plus curieux d’entre vous.
Tous ses documents sont officiels et téléchargés sur le site ministère de la justice Fédérale, via la base de données Pacer.gov . Ces documents sont incontestés et incontestables.
« LES » VERDICTS »

A) Le verdict initial du jury
Ils s’agit de pièces judiciares fédérales. Les non amateurs de droits pourront zapper leur lecture et scroller vers le bas.









Conclusion du verdict initial
Sept jurés ont donc validé à l’unanimité la culpabilité de Syntel. Les auteurs de l’article n’ont matériellement pas eu le temps de vérifier si les jurés étaient des jurés populaires ou des spécialistes de questions commerciales, à l’image du tribunal de commerce où les juges sont des cadres ou chefs d’entreprises. On sait juste qu’ils ont été unanymes.
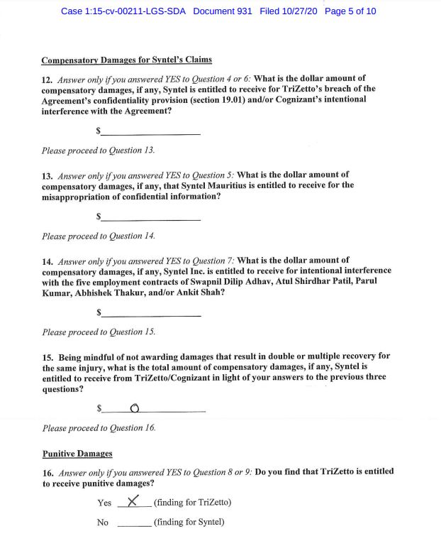
On s’aperçoit que Syntel est condamné à deux peines :
- 285M$ de dommages et intérêt pour détournement de secrets commerciaux
- 569M$ de dommages et intérêts punitifs. Ces dommages et intérêts punitifs n’existent pas dans le droit Français.
- Les autres montants figurant sur le verdict sont les montants pour vol de propriété intellectuelle, selon la loi de l’état de New York et selon la loi du « copyrights ». Le tribunal retient la loi la plus favorable au plaignant, à savoir la loi fédérale, mais également parce que la loi de New York ne propose pas la loi sur les avoided costs qui est une loi fédérale.
Voici le verdict final, réduit à la baisse mais encore très lourd pour Syntel:
B) Le verdict final après transaction tripartites post-verdict



Le verdict final comparé au verdict du jury donne donc raison à Syntel en partie, puisque les dommages punitifs sont réduits à une fois les dommages principaux.
Le verdict final donne tort à TriZetto sur sa requête post verdict, qui ne se voit pas attribuer d’intérêts pré-jugement. Si vous nous autorisez cette remarque, même sans intérêts pré-verdict c’est le jackpot pour TriZetto car cette somme correspond à la totalité du coût de développement du logiciel FACET. Donc le développement de leur logiciel si Syntel en était resté là, serait totalement remboursé par Syntel selon la logique de la justice américaine (la raison sera expliquée un peu après).
Le verdict aboutit à une double condamnation qui a été un peu confuse pour certains car Syntel doit payer deux fois 285M$ soit 570M$ au total, ce qui a laissé à penser à certains que la somme que devait payer Syntel était moindre et n’était « que » de 285M$.
La justice américaine assume le principe de cette double peine, dommage et intérêt pour compenser le préjudice et amende pour dédommagement moral d’avoir triché, dits « dommages et intérêts punitifs ; et comme Syntel en transaction post verdict a obtenu une réduction de peine sur ces dommages et intérêt punitifs, le fait que les dommages et intérêt punitifs soient égals à une fois les dommages et intérêts principals, il y a deux fois la même somme à payer, ce qui a créé une confusion pour certains, sur le fait que la pénalité totale était « seulement » de $285M.
Les requêtes post-verdict de Syntel sur le fond de l’affaire ayant été rejetées, à savoir que le jury s’était trompé, Syntel a fait appel du jugement, et continue à revendiquer (à tord) un montant maximal de dommages et intérêts à $8,5M.
La conclusion de ce jugement de première instance est que Atos, pour une société payée 3.9Md$ (3.5Md€) va devoir sortir du porte-monnaie 570M$ de plus, soit un coût total de 4.5Md$ pour une société qui réalisait 960M$ de CA au moment de l’OPA, soit environ 850M€…
Merci Thierry Breton pour votre dernier fait d’armes avant de partir rapidement à l’EU. Sympa pour vos successeurs.
Est-ce que Atos a déjà payé une partie de cette somme, est-ce qu’une partie a été provisionnée dans les comptes?
Il y a eu beaucoup de confusions là dessus entre le montant de 8.5M$ qui est revenu dans des threads et la provision réellement passée dans les comptes. 8.5M$ est le montant maximal que Atos-Syntel estime devoir à TriZetto. Les lois comptables américaines au contraire des lois françaises n’obligent pas à passer en provision les pénalités non versées. Pour que son appel soit valide, Syntel a du donner une garantie au juge, un « bond ». En effet la somme étant très élevée, le juge a pensé qu’il y avait un risque qu’Atos mette Syntel en faillite pour éviter de payer l’amende. Un bond, aux USA, c’est l’équivalent d’une caution bancaire à première demande. Un assureur américain s’est donc porté caution pour Atos pour un montant de 570M$ en échange d’une caution bancaire française. Si Syntel perdait en appel, Atos n’aurait pas d’autre choix que de payer.
Ce système de cautionnement via un « bond » a eu pour résultat que Atos n’a pas eu de décaissement à réaliser de la somme et de ce fait ne l’a pas provisionné dans ses comptes 2021 au regard des lois comptables américaines. Elle a provisionné 8.5M$ + tous les frais d’avocat + les frais d’appel + les honoraires de cautionnement, + TOUS les autres litiges du groupe, soit un total de 36.7M€ dans les comptes 2021 au titre du procès Syntel et de l’appel en cours. Ce chiffre est dans le rapport financier 2021 publié en juillet 2022. On peut même se demander vu que ce chiffre concerne les litiges à l’échelle du groupe si, même ces 8.5M€ ont été provisionnés.
Concernant le procès Syntel nous pouvons d’ores et déjà dire qu’au travers de nos connaissances du système juridique américain et de ce dossier précisément, la comptabilité est a-sincère.
Le montant total des provisions pour les risques de litiges commerciaux, comme inscrit dans les comptes consolidés arrêtés au 30 juin 2022, s’élève à 36,7 millions d’euros. Page 21/92
Concentrons nous maintenant sur l’appel.
Préalablement à la rédaction de cet article, et via des threads, Map estimait selon son expérience de la justice américaine, que la négociation post-verdict ayant été (en partie) acceptée par le juge et par TriZetto, l’appel se présentait mal, car le juge pouvait estimer maligne l’attitude de Syntel de négocier et quand même faire appel.
Lamaban estimait de son côté que cela n’entravait pas la possibilité de Syntel de gagner.
S’en est suivi un petit quiproquo via des posts sur la partie forum que chacun regrette, car l’explication orale a permis de nourrir de très constrictifs échanges sur le procès et sur Atos en général, et au final la grande connaissance du droit américain de Lamaban va donner un nouvel éclairage sur ce qui nous intéressent tous le plus :
Est-ce que Syntel a une chance réelle de gagner son appel et/ou est-ce que Syntel a une chance de voir sa peine réduite?
Documents utilisés (entre autres) que nous mettons à votre disposition :
Téléchargement: CONCLUSIONS D’APPEL DE SYNTEL
Téléchargement: CONCLUSIONS D’APPEL DE TRIZETTO
Téléchargement: RÉPONSE DE SYNTEL AUX CONCLUSIONS D’APPEL DE TRIZETTO
N’allons pas trop vite. Si on vous dit oui ou non maintenant, les bullish vont dire qu’on veut influencer le cours à la baisse et les bearish qu’on veut influencer le cours à la hausse, car ce petit blog aurait d’après quelques membres un début d’aura après des PP actifs, ce que ma modestie se refuse toujours de penser.
C’est là que nous allons bénéficier du savoir de Lamaban en histoire du droit américain.
La notion clef de ce procès, tant pour la première instance que l’appel est le concept « d’avoided costs » (mot pour mot « des coûts évités »). La jurisprudence américaine sur « avoided cost » repose sur une interprétation particulière de la théorie générale des dommages pour enrichissement sans cause.
Bien que ne vendant pas de logiciel concurrent à FACET, et bien que Syntel n’ait installé le logiciel FACET qu’au sein d’une solution complète, et sur une centaine de stations de travail de quelques clients, soit quelque chose de minime à l’échelle du marché américain, la cour a fait porter sur Atos le coût total de conception du logicel FACET tel qu’estimé par l’expert de TriZetto, et la cour a estimé qu’en utilisant pour ses besoins le logiciel FACET, Syntel s’était évité un coût de développement de 285M$…
Sur le principe, il est vrai que la peine paraît franchement disproportionnée : pour faire très simple (lâchons-nous) c’est comme si vous aviez installé Windows 11 sur les postes de toute votre famille sans payer la licence, et qu’au final, découvrant le pot au rose, Microsoft vous demande de lui payer les coûts de conception de Windows 11, soit plusieurs milliards ! Vous me suivez ??
La bonne nouvelle c’est que :
Compte tenu de la façon dont a été présenté le verdict, on peut dire de façon sûre et certaine, à quelques millions près qu’il est impossible que le jugement de première instance soit alourdi en appel. (ouf).
En effet, en accordant 285 millions de dommages intérêts principaux à TriZetto pour « avoided cost », la Cour a fait plein droit à la requête initiale de TriZetto. Le montant des 285 millions correspond en effet au coût total de développement du logiciel FACET estimé par l’expert de TriZetto lui-même. Par ailleurs, les dommages punitifs étant acquis selon le principe dommage punitif = 1x dommage principal, il est désormais IMPOSSIBLE que Syntel soit condamné à plus que 570 millions de (285M$ x 2). Dans ses conclusions d’appel, dont nous avons lu l’intégralité, TriZetto ne demande rien d’autre que la confirmation du jugement de première instance (dans l’état des amendements post-verdict).
La plaidoirie de Syntel en appel repose sur les moyens (arguments) suivants.
A. TRIZETTO N’A PAS DÉMONTRÉ (selon les exigences de spécificité retenues par la jurisprudence) L’EXISTENCE D’UN DÉTOURNEMENT DE SECRETS COMMERCIAUX
1. TriZetto n’a pas pu démontrer avec suffisamment de spécificité et de précision que les documents incriminés étaient des secrets commerciaux.
En effet, elle a fourni une simple liste de documents incluant
- a/ des logiciels, dont notamment FACET
- b/ des manuels et guides d’utilisation
- c/ des outils informatiques.
Cette liste n’était pas assortie d’une description suffisamment précise des documents pour permettre au juré de déterminer leur nature précise. Par exemple, 96 des 104 documents incriminés ont été seulement décrits sous la catégorie générique de « guides et manuels ».
Or, la jurisprudence est constante sur l’exigence d’une caractérisation précise et spécifique des documents incriminés pour statuer sur l’existence de secrets commerciaux, et par suite sur leurs détournements.
2. Le jury de première instance a inversé la charge de la preuve en demandant à Syntel de démontrer que ces documents n’étaient pas des secrets commerciaux alors que toute la jurisprudence sur les secrets commerciaux converge sur le fait que la charge de la preuve incombe au plaignant, à qui il revient de démontrer, de manière suffisamment caractérisée, l’existence d’un détournement de secrets commerciaux. Le juré a donc commis une erreur de droit.
3. Certains des documents incriminés étaient publics, notamment les guides d’utilisation du logiciel FACET. Ces documents ne peuvent donc pas être considérés comme des secrets commerciaux.
Il suit de là que le jugement de première instance doit être révoqué.
B. SYNTEL ÉTAIT AUTORISÉ À FAIRE USAGE DES DOCUMENTS INCRIMINÉS
1. Syntel a été explicitement autorisé, par les termes du contrat qui le liait à TriZetto en 2013, à utiliser les documents incriminés.
2. La Cour a commis une erreur de droit en déférant au juré la compétence de juger la nature du contrat qui liait TriZetto à Syntel, alors que celui-ci était non ambigu, selon l’aveu même de TriZetto, et qu’une jurisprudence constante refuse aux jurés une compétence pour juger comme une matière de fait des contrats non ambigus.
Il suit de là que le jugement de première instance doit être révoqué.
C. SYNTEL NE PEUT (eu égard au droit en vigueur et à la jurisprudence existante sur la question) ÊTRE CONDAMNÉE À VERSER À TRIZETTO LA TOTALITÉ DU MONTANT CORRESPONDANT AU COÛT DE DÉVELOPPEMENT DU LOGICIEL INCRIMINÉ.
La jurisprudence sur les « avoided cost » est constante pour affirmer que les dommages pour coûts évités supposent:
1. Que le coût précis des avantages indus ne puisse être calculé de manière précise, sans quoi c’est ce coût-ci, et non le coût théorique du développement du logiciel qui doit être retenu.
2. Que le coût précis du dommage subi par le plaignant ne puisse être calculé de manière précise, sans quoi c’est le coût de ce dommage, et non le coût théorique qui doit être retenu.
En effet la jurisprudence sur les « avoided cost » prévoit explicitement que ces coûts évités, qui sont calculés de manière théorique et délibérément fictive, se substituent au calcul des coûts réels, lorsque ce calcul est impossible.
1. Or, TriZetto elle même a évalué, par le biais de son expert, que le coût des avantages indus perçus par Syntel équivalait à un montant de 27 millions de dollars (l’expert de Syntel a lui évalué ce montant à 870.000$ maximum). La jurisprudence sur l’enrichissement sans cause prévoit donc explicitement que Syntel soit (au maximum) condamné à reverser les 27 millions de dollars en question. La jurisprudence sur les « avoided cost » ne peut s’appliquer ici, ni se substituer à la jurisprudence traditionnelle sur l’enrichissement sans cause.
2. TriZetto elle-même a évalué son dommage subi à 8,5 millions de dollars (il s’agit du dommage direct subi par TriZetto pour usage du logiciel Facet sans retour des royalties à TriZetto). Comme dans le point précédent, la possibilité d’un calcul précis du dommage subi empêche la Cour de pouvoir appliqué la jurisprudence sur les « avoided cost » (qui encore une fois suppose que les avantages et dommages ne peuvent pas être calculés de manière précise).
C’est au contraire la jurisprudence traditionnelle sur la réparation des dommages directs qui s’applique, et Syntel doit être (au maximum) condamnée à verser à TriZetto 8,5 millions de dollars.
3. La jurisprudence sur les « avoided cost » prévoit que l’accusé ait tiré un avantage indu en détournant la « pleine valeur » de la technologie incriminée. Or Syntel n’est pas un vendeur de logiciel et n’a jamais développé de logiciel concurrent à TriZetto. La jurisprudence sur les « avoided cost » ne peut donc pas s’appliquer ici.
4. TriZetto n’a pas établi de lien entre l’usage supposé du logiciel incriminé et un enrichissement effectif de Syntel. Or, en l’absence de ce lien, la jurisprudence sur les « avoided cost » ne peut pas s’appliquer.
5. Les « avoided cost » ne sont pas des dommages punitifs imposés à l’accusé mais des dommages censés rendre au plaignant la pleine valeur de sa technologie en le dédommageant du coût de la production du logiciel détourné. Or en l’absence d’un détournement de cette « pleine valeur » par l’accusé, les dommages pour « avoided cost » deviennent des dommages punitifs et la Cour se rend coupable d’un fait de double condamnation. Là on pourait même parler de triple peine, penalty, but, et carton rouge au gardien qui était le dernier défenseur.
6. TriZetto fait bénéficier gratuitement à ses partenaires de l’usage du logiciel Facet, et Syntel était explicitement autorisé (et même encouragé) à faire l’usage et la promotion de ce logiciel auprès de ses clients entre 2013 et 2014. La jurisprudence sur les « avoided cost » ne peut donc pas s’appliquer car celle-ci suppose le détournement frauduleux et caché d’une technologie protégée.
Pour toutes ces raisons, le montant total des dommages intérêts ne peut excéder 8,5 millions (si jurisprudence des dommages directs) ou, au maximum, 27 millions (jurisprudence de l’enrichissement sans cause).
Notre diagnostic est sensiblement plus optimiste après cette recherche. Et c’est la très bonne nouvelle de fin d’article. Map qui était très pessimiste, voir quasi défaitiste à l’approche du procès avec l’éclairage des avoided cost mis en lumière par Lamaban, a très significativement revu sa position.
Après 140 pages de lecture pour Map et 180 pour Lamaban, nous estimons les chances de « victoire » de Syntel en appel:
- Pour Map
> à 45% la probabilité d’une victoire de Syntel. Il faut comprendre que cette « victoire » ne serait pas définitive car l’annulation du jugement de première instance en appel supposerait ensuite l’ouverture d’un autre jugement pour déterminer le montant exact des dommages subis par TriZetto (8,5 millions + dommages punitifs) ou de l’enrichissement sans cause de Syntel (27 millions + dommages punitifs), sans oublier l’amende pour vol de propriété intellectuelle. Sans oublier les dommages punitifs qui montent facilement à 4x les dommages principaux sur les montants plus réduits. La probabilité que soient retenus les 8.5M$ est proche de zéro. De plus selon le DTSA on peut cumuler le manque à gagner et l’enrichissement sans cause, hypothèse minimale qui serait vraisemblablement retenue.
> à 55 % la probabilité d’un rejet de l’appel et donc à une confirmation du jugement post verdict (570 millions).
- Pour Lamaban,
> à 40% la probabilité d’une victoire de Syntel. Il faut comprendre que cette « victoire » ne serait pas définitive car l’annulation du jugement de première instance en appel supposerait ensuite l’ouverture d’un autre jugement pour déterminer le montant exact des dommages subis par TriZetto (8,5 millions + dommages punitifs) ou de l’enrichissement sans cause de Syntel (27 millions + dommages punitifs ), sans oublier l’amende pour vol de propriété intellectuelle. Sans oublier les dommages punitifs qui montent facilement à 4x les dommages principaux sur les montants plus réduits. La probabilité que soient retenus les 8.5M$ est proche de zéro. De plus selon la DTSA on peut cumuler le manque à gagner et l’enrichissement sans cause, hypothèse minimale qui serait vraisemblablement retenue.
>à 60% la probabilité d’un rejet de l’appel et donc à une confirmation du jugement post verdict (570 millions $).
On est globalement sur une tendance où c’est loin d’être gagné, mais par contre tout n’est pas encore perdu et c’est là l’essentiel.
Mais comme rien n’est gagné non plus, la voie de la transaction, paraitrait la plus sûre pour clore ce litige très incertain et dont l’avantage est plutôt du côté de TriZetto.
POUR RESUMER
Si Atos persiste à dire que dans ce type d’affaire, le montant des pénalités devaient être de 8.5M$, c’est que ce montant recouvre le coût des royalties non versées, et pour faire très simple des quelques clients qu’ils ont piqué à TriZetto. A noter que, avec le jugement post-verdict sur le principe dommages punitifs = une fois les dommages et intérêts principaux, cela ferait un total de 17M$, auquel il faut ajouter les pharaoniques frais d’avocats. Un dossier comme ça c’est au minimum 10 avocats qui travaillent, avec, vous vous en doutez, des honoraires généreux… Mais évidemment bien moins que 570M$
Si le juge était sensible aux arguments de Syntel que les « avoided costs » ne peuvent s’appliquer dans cette affaire, mais aillent dans le sens des dommages et intérêt pour vol de clientèle demandé par TriZetto, on serait sur une somme de 27M$ de dommages et intérêt soit un total de 54M$ avec les dommages punitifs. Mais toujours bien moins que 570M$
PEUT-ON IMAGINER QUE SYNTEL PERDE L’APPEL, MAIS QUE LES DOMMAGES ET INTERETS SOIENT REDUITS?
Lamaban pense, et je partage son avis, la chose suivante: le jugement sera binaire. Il n’y aura pas de milieu.
Soit l’appel est perdu et les montants seront quasi identiques à quelques millions près au jugement de première instance, soit Syntel gagne l’appel, et gagner ça veut dire éviter des avoided cost, car pour le détournement de propriété intellectuelle Syntel a admis sa culpabilité, donc il ne pourra pas y avoir zéro pénalité, ça c’est acquis.
Dans ce cas en de « victoire » avec hypothèse favorable, Syntel devrait payer 17M$ au lieu de 570M$. Et dans le cas de « victoire » avec hypothèse défavorable, à savoir que le juge retienne le calcul de TriZetto, dans ce cas Syntel devrait payer 54M$, soit seulement 10% de la peine en première instance. Ce sont des réels motifs d’espoir pour les actionnaires d’Atos.
CONCLUSION
Qu’est-ce qui pourrait faire pencher la balance vers la victoire ou la défaite. Le choix d’un nouveau cabinet ? Le choix de nouveaux avocats spécialisés dans les « avoided costs » ? Une approche plus humble de Syntel qui se croyait trop sûr d’une petite amende ?
Pour ceux qui souhaiteraient un exposé sur les chances du procès contre Bharat Desai pour prétendument avoir dissimulé les risques du procès au moment de l’OPA amicale, nous en avons discuté avec Lamaban et partageons le même pessimisme pour cette procédure qui semble plus marketing que juridique. Certes, un juge a autorisé la poursuite du procès là où Bharat Desai demandait un non lieu. Mais cette même justice a déclaré que c’est Atos qui doit payer les frais de défense de Bharat Desai. Ca montre le coté très aléatoire de cette procédure, qui demandrait très certainement de faire intervenir comme témoin Thierry Breton. Pas sûr qu’ils en ait envie…
On sent que Meunier essaye de jeter aux lions Bharat Desai pour se disculper en tant que membre du board d’avoir validé le rachat de Syntel. La question à se poser est plutôt « qu’est-ce qui a pris Breton de racheter une boite sur la base de presque 4 x le chiffre d’affaires, à des années lumières de la valo d’Atos, qui, même à son plus haut, n’a jamais touché les une fois le chiffre d’affaire ? Il semblait assez évident que l’opération ne pouvait être relutive et que les seuls gagnants seraient les actionnaires de Syntel… A cette occasion le couple Desai est rentré dans le classement des 1000 américains les plus riches (voir article)
A propos de la valeur de Syntel post OPA
Je me suis entendu dire par des membres qui supportent la valo à minima d’Atos à 52€ que Syntel valait toujours 4Md$, qu’elle avait toujours 25% de MOP. Si c’était le cas, Evidian vaudrait alors 8Md€… Lamaban et moi sommes d’accord sur la fait que à minima Syntel nécessiterait une dépréciation de Goodwill de 1Md€. Or sur la totalité du groupe, l’année dernière, seulement 635M€ de dépréciation de Goodwill ont été provisionnées pour la Zone Amérique du Nord, sans que l’on sache si c’est sur Syntel uniquement ou pas.
D’après nos infos internes, la MOP de Syntel serait toujours très honorable, entre 18% et 19%, mais le CA aurait baissé d’environ 100M€ face à la concurrence directe de ESN indous qui proposent des apps en direct aux client américains.
Syntel se trouvant dans le périmètre « Digital » d’Evidian, c’est une épine dans le pied d’Evidian qui va trainer jusqu’à 2024 probablement. Un accord transactionnel avec TriZetto pourrait être une bonne idée pour le nouvel actionnaire d’Evidian. Lamaban pense que TriZetto ne serait pas fermé à cette démarche car il n’est pas 100% sûr de gagner en appel, mais il serait peu généreux car les plaidoiries laissent entrevoir une grosse confiance des avocats de TriZetto.
Ce qui est sûr, c’est qu’il y aura deux phases dans cet appel. Le 1er jugement qui validera ou invalidera les avoided cost et il est prévu au S1 2023. S’il est perdu, là le problème sera réglé définitivement mais de manière douloureuse pour Atos. S’il est gagné ça prolongera jusqu’en 2024, voir début 2025, mais avec la certitude de pénalités bien moindres.
======
TELECHARGEMENTS des PIECES DU PROCES, PIECES FEDERALES OFFICIELLES:
- Pièce 1 première instance : assignation initiale de Syntel en janvier 2015 qui demande 6 Milliards de dommages et intérêts punitifs et trouve que les 570M€ auquels le jury l’avait initiallement condamné sont totalement excessifs. (oui Md pas M).
- Pièce 1 appel : DEMANDE d’APPEL de SYNTEL
-
TELECHARGEMENTS CONCLUSIONS D’APPEL
Téléchargement: CONCLUSIONS D’APPEL DE SYNTEL
Téléchargement: CONCLUSIONS D’APPEL DE TRIZETTO
Téléchargement: RÉPONSE DE SYNTEL AUX CONCLUSIONS D’APPEL DE TRIZETTO
-
Annexes :
Télécharger pièce 77 (DEFFERED APPENDIX) annexes de A-1 à A210
Télécharger pièce 78 (DEFFERED APPENDIX) annexes de A-211 à A502
Télécharger pièce 79 (DEFFERED APPENDIX) annexes de A-503 à A738
Télécharger pièce 80 (DEFFERED APPENDIX) annexes de A-739 à A1034
Télécharger pièce 81 (DEFFERED APPENDIX) annexes de A-1035 à A1326
Télécharger pièce 82 (DEFFERED APPENDIX) annexes de A-1327 à A1618
Télécharger pièce 83 (DEFFERED APPENDIX) annexes de A-1619 à A1910
Télécharger pièce 84 (DEFFERED APPENDIX) annexes de A-1911 à A2131
Télécharger pièce 85 (DEFFERED APPENDIX) annexes de A-2131 à A2337
-
LIENS SUR LES ARTICLES SUR LA JURISPRUDENCE SUR « LES AVOIDED COSTS »
Dossier Syntel – Trademark, copyrights and trade secret damages (Avoided costs – Google books)


Si Atos perd il devra rembourser les compagnies d’assurances qui ont déposé les 570millions en caution, quelles sont les conditions de remboursement établies entre ATOS et ces compagnies d’assurance.
Normalement, dans ce cas de figure, l’assureur américain a demandé la caution d’une des banques d’Atos. Si Atos ne pouvait pas payer la pénalité, la banque verserait la somme à l’assureur et Atos a du négocier un règlement en 12 à 24 mois si ça devait se produire. Donc Atos aurait recours à la dette pour payer les pénalités. C’est aussi pour ça qu’ils ont négocié une enveloppe très large de 2.7Md€ avec le pool bancaire.
Et bravo pour le travail effectué surtout !
Remarquable de clarté. Un seul point: je croyais que le verdict tomberait bien avant la scission? Qu’est-ce qui vous permet d’affirmer que ça sera au plus tôt mi 2023 et plus probable bien après ?
D’une part parce que nous avons téléchargé de nombreux documents liés à l’appel et qu’il n’y a pas d’annonces de prochaines plaidoiries. Ca en est encore au state d’échanges des conclusions. Syntel a cherché à gagner un peu de temps en changeant plusieurs fois des avocats de leur cabinet. A chaque fois ils demandent un délai pour que le nouvel avocat puisse étudier le dossier. L’état de la procédure est visualisable en temps réel sur le site du ministère de la justice pacer.gov
La dernière action en date était une conférence avec le juge pour faire le point avec 10mn accordé à chaque avocat. TriZetto n’est pas particulièrement pressé, il n’ont pas besoin de cash et ont une caution bancaire et seront sûr d’être payés, même s’ils ne gagnent que dans deux ans.
Si vous voulez voir à quoi ça ressemble un aperçu de la procédure, envoyez moi un mail sur [email protected]
Bravo à vous deux c’est impressionnant. Question : le tribunal ne peut-il pas ajouter une peine supplémentaire inattendue, de type procédure abusive ou manque de bonne volonté à Syntel, par exemple pour les demandes successives de reports pour que ses avocats étudient le dossier ?
C’est ce que je pensais, mais Lamaban m’a convaincu après de très profondes explications que non pour la peine principale. Après qu’il ait 2/3 millions de plus, qui sait en effet, mais d’après les explications de Lamaban spécialiste du droit, ça n’aura pas d’impact sur la peine la plus lourde, celle de 285Md$ qui consiste à faire payer à Atos le coût du développement du logiciel de TriZetto.
Je vais faire une courte partie 2 qui explique que l’appel aux US s’apparente plus à la cour de cassation en France. Un juge va décider de casser le jugement de première instance, mais ce sera un nouveau procès qui va décider de la peine finale. Elle jugera uniquement les faits de nouveau, comme le 1er procès.
Magnifique travail de bénédictins ! PP de 1740 avec PRU 15,2
non spécialiste mais maintenant lecteur assidu de tous les messages.
Je vais maintenant me former aux MM
D’autre part ancien élu local très gravement touché par le COVID (coma) vous comprendrez facilement mon ressenti par rapport à PHILIPPE
Map Bonne santé, (je sais de quoi je parle) et toute la bande continuez, c’est un plaisir de vous lire
Mon objectif : 35 € prions mes frères !!!
Bravo et surtout merci pour ce travail incroyable de recollement et d’analyse !
Bon, un poil déçu par le 50/50 final…aurait préféré 80/20 pour Syntel / Atos
Atos sera la recovery 2023 !